
土体孔隙水分布(Pore Water Distribution,PWD)为揭示土体抗剪强度、渗透特性及持水能力提供了关键信息。土体的孔隙水分布特征受试样制备条件(如初始含水率或压实度的变化)以及干湿过程的影响。本文采用核磁共振(NMR)技术对上述因素进行了研究。通过数学转换,将NMR的T₂谱转化为孔隙水分布曲线,从而更加准确地定量表征不同孔径范围内孔隙水含量的变化。结果表明,粉质黏土中的孔隙水可划分为三类:吸附水、集聚体内孔隙水和集聚体间孔隙水,其对应的孔径范围分别为小于0.05μm、0.05–1.0μm
和大于1.0μm。压实度和初始含水率对土体孔隙水分布的影响表现出明显差异。对于非饱和压实试样,孔隙水分布基本不受压实度变化的影响,而初始含水率的增加会促进黏土集聚体的形成,从而增大最大持水孔隙半径并提高集聚体内孔隙水含量。对于饱和压实试样,随着压实度的降低,集聚体间和集聚体内孔隙水含量均有所增加;同时,随着初始含水率的提高,孔隙水分布形态由单峰型逐渐转变为双峰型。在土体干燥过程中,集聚体间孔隙水迅速排出,集聚体内主导孔隙水含量先增加后减少,而强吸附水含量始终保持不变。基于Young–Laplace理论,可以建立累积孔隙水分布曲线与土–水特征曲线(SWCC)之间的系。利用土体干燥过程中累积孔隙水分布曲线的包络线,可对SWCC进行较为准确的预测。
土体的孔隙水分布是指孔径与其对应的孔隙水含量之间的定量关系,它控制着土体的水力和力学行为,如抗剪强度、渗透性、压缩性和持水能力等。当前用于测量土体孔隙结构的方法较多,如压汞法(MIP)、扫描电子显微镜(SEM)以及X射线扫描等,但能够直接测量土体孔隙水分布的技术手段仍然十分有限。例如,对于非饱和土试样,并非所有孔隙都充满水,而MIP技术测量的是土体中所有孔隙(包括充水孔隙、非饱和孔隙及干孔隙),因此难以反映真实的孔隙水分布特征。相比传统试验方法在刻画土体孔隙水分布方面的不足,核磁共振(NMR)技术为此提供了一种良好的解决方案。鉴于NMR技术能够捕捉存储于不同孔径中的孔隙水,其非常适用于揭示土体孔隙水迁移与重分布的微观机制。在非饱和土力学研究方面,一些学者利用NMR技术测试了土体的T2曲线,但其讨论主要局限于宏观含水量的变化,未进一步分析不同孔隙中的水分分布特征,且未明确区分孔隙水的具体形态与类型。
已有研究表明,初始制样条件和干湿过程对土体的水力和力学行为有显著的影响。然而,目前尚缺乏关于孔隙水分布特征如何影响土体宏观水–力学行为变化的系统研究。为此,本文采用NMR技术对土体孔隙水的迁移与重分布过程进行了系统研究。考虑到土体吸力与干湿过程之间的密切关系,本文同时采用吸力测试手段获取土–水特征曲线(SWCC)。在此基础上,将孔隙水划分为吸附水、集聚体内孔隙水和集聚体间孔隙水,系统分析了这三类孔隙水在土体压实、饱和及干燥过程中的分布特征,并重点讨论了其含量随压实度和初始含水率变化的规律。最后,提出了两种基于NMR试验结果、可用于宽吸力范围内SWCC预测的方法。
试验材料为来自北京市延庆区的粉质黏土,称为延庆粉质黏土,基本物理性质见表1。
表1 延庆粉质黏土的基本物理特性

首先,将土料在105 ℃的烘箱中烘干,并将细粒土通过2 mm直径的筛网筛分,再将干土料放入保鲜袋中冷却备用。接着,根据设定的初始制样条件计算干土和水的质量,配置湿润土料。然后,使用压样模具将湿润土料压入环刀的中央,制备压实试样。通过抽真空饱和法对压实试样进行饱和处理。将饱和试样置于恒温恒湿的环境中自然风干,以获得不同质量含水率的非饱和试样,制备试样的饱和度见表2。为了消除铁元素对核磁共振信号的干扰,使用内径45 mm、外径51 mm和高度20 mm的聚四氟乙烯环刀代替常规的不锈钢环刀。
表2试样制备方案

由于细粒土的吸力变化范围宽广,采用联合压力板法、接触式滤纸法和WP4C露点水势仪法获得土−水特征曲线,见图1。
为了克服仪器本身磁场非均匀性的影响,核磁共振通常采用CPMG脉冲序列来施加射频脉冲。使用CPMG序列可以获得核磁信号随时间变化的曲线,即CPMG曲线。通过对CPMG曲线进行傅里叶变换,可以获得T2分布曲线。T2分布曲线下方的峰面积(核磁信号的累加总量,无量纲)表示对应T2时间范围内的含水量,进而可以推导出土体中的孔隙水含量信息。
本试验采用中国mile(中国)官方网站公司生产的低场核磁共振分析仪,型号为MesoMR23-060H-I。该仪器的永久磁场强度为0.5 T(特斯拉),为确保主磁场的均匀性和稳定性,磁体的温度长期维持在32±0.01 ℃,探头线圈的直径为60 mm。在试验中,饱和试样以及经过接触式滤纸法养护后的非饱和试样被放置在核磁共振分析仪中,以测量其T2分布曲线,见图1。由于细粒土在干燥过程中会发生体积收缩,试验结束后,采用液体体积置换法测量试样的体积,进而计算得到试样的孔隙比。

图1 核磁共振-持水特性试验流程示意图
图2(a)表示了压实度为80 %、初始含水率为16.5 %的饱和试样的T2谱图。图中横坐标为T2弛豫时间,纵坐标为核磁信号幅度。T2分布曲线下的面积对应相应T2时间范围内的含水量。然而,由于T2时间难以定量反映孔径大小,且核磁信号幅度缺乏明确的物理单位,导致在使用这两个物理量去定量表征孔径和孔隙水含量时会存在物理概念模糊的问题。因此,有必要将这两个物理量进行转换,即将T2时间转换为孔径、将核磁信号幅度转换为常用的含水率。
T2时间与孔隙半径r之间的转换需要确定土体的孔隙水形态系数Cr:

式中,Cr为孔隙水形态系数,μm/ms。
对饱和土分别开展NMR和压汞(MIP)试验,获得了两条累积孔隙体积分布曲线。通过Excel规划求解结果,延庆粉质黏土的Cr值约为0.11 μm/ms。将该值代入到公式(1)中,即可将T2时间转换为孔隙半径r。
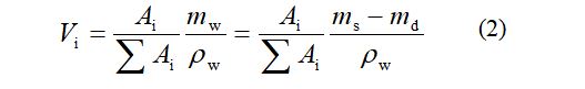
通过公式(2),可以计算给定孔径的孔隙水体积,从而与信号幅度建立联系:

式中,Ai为某一T2时间对应的核磁信号幅度;mw为试样中孔隙水的质量,g;ms为湿土试样的总质量,g;md为干土试样的质量,g;ρw为水的密度,取为1.0 g/cm3。
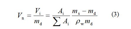
为了更好地比较不同压实度试样的孔隙水含量,使用公式(3)计算归一化孔隙水体积,即每克干土中的孔隙水体积:

式中,Vn为归一化孔隙水体积,ml/g,其值等同于质量含水率。
使用公式(1)和公式(3),可以将核磁共振T2谱图(图2(a))转换为孔隙水分布曲线(图2(b))。需要说明的是,由于核磁共振技术探测的是试样中的氢原子核,饱和试样的孔隙水分布曲线实际上就是孔径分布曲线。
在图2(b)中,优势孔隙半径(rdom)指的是最大孔隙水体积对应的孔隙半径,对应于主峰;次峰孔隙半径(rs)指的是第二个峰值对应的孔隙半径,对应于次峰;最大持水孔隙半径(rmax)指的是孔隙水分布曲线上孔隙水体积不为零时对应的最大孔隙半径。

(a)T2谱图

(b)孔隙水分布曲线
图2 将T2谱图转换为孔隙水分布曲线
通过静态压实法制备的试样通常表现出两种类型的孔隙:集聚体间孔隙和集聚体内孔隙。集聚体间孔隙的尺寸通常大于集聚体内孔隙的尺寸,如图3(a)和(b)所示。
在黏土颗粒表面,分子的极性导致双电层的形成。双电层由黏土矿物表面的永久性负电荷和周围溶液中的反离子组成,包括紧密层(内层)和扩散层(外层),如图3(c)所示。在紧密层中,数层水分子紧密吸附在黏土颗粒表面上,形成了一层很薄的水膜,称为吸附水。在扩散层中,反离子不仅受到电荷作用,还倾向于扩散到外部溶液中,扩散层中的水可归入到集聚体内孔隙水。在紧密层中,主要由范德华力控制土的基质势,可通过公式(4)进行量化:

式中,μ(h)为土的基质势,J/m3;AH是哈梅克常数,通常取-6×10-20 J;h为吸附水膜的厚度,nm。在粉质黏土颗粒表面上的吸附水膜假设是由三层水分子组成,每一层水分子的厚度约为0.3 nm。因此,吸附在土颗粒表面水膜的厚度约为1.0 nm。将h=1.0 nm代入到公式(4)中,计算得到土的基质势约为3183 J/m3。
在非饱和状态下,吸附水赋存的孔隙半径r与基质势μ(r)之间的关系可以通过广义的Young-Laplace方程来描述:

式中,Ts为表面张力,在试验环境为20 ℃的条件下,其值等于72.75 mN/m;θw为固−液接触角,为了简单起见,通常取0 °。
将基质势μ(r)=3183 J/m3代入到公式(5)中,计算得到孔隙半径r约为0.05 μm,即吸附水赋存于孔隙半径小于0.05 μm的孔隙中。
综合上述研究结果,粉质黏土中的孔隙水可分为三类:集聚体间孔隙水(赋存于孔隙半径大于1.0 μm的孔隙中)、集聚体内孔隙水(赋存于孔隙半径在0.05 μm到1.0 μm之间的孔隙中)和吸附水(赋存于孔隙半径小于0.05 μm的孔隙中)。三种类型孔隙水在饱和试样的孔隙水分布曲线中的划分结果如图3(d)所示。


图3 孔隙水分布模型的概念草图
图4(a)表示了在最优含水率但不同压实度条件下非饱和压实试样的孔隙水分布曲线。从图中可以看出,非饱和压实试样中的孔隙水主要储存在孔隙半径为0.005 μm~0.35 μm的孔隙中,孔隙水类型为吸附水和集聚体内孔隙水,而集聚体间孔隙(孔隙半径大于1.0 μm)为干燥孔隙。这表明试样在最优含水率下被压实不足以使集聚体间孔隙吸收水分,如图4(b)所示。此外,由于纵坐标采用了归一化的孔隙水体积(每克干土中的孔隙水体积),在不同压实度条件下试样的孔隙水分布曲线几乎重合,这表明本研究所施加的压实应力不足以改变非饱和压实试样的孔隙水分布曲线的形态。
图4(c)表示了在相同压实度但不同初始含水率条件下非饱和压实试样的孔隙水分布曲线。从孔隙水分布来看,随着初始含水率的增加,孔隙半径在0.05 μm到1.0 μm之间的曲线向右上方移动,而孔隙半径小于0.05 μm的曲线保持不变。这表明,不同非饱和压实试样中的吸附水已达到饱和,初始含水率的增加不会改变吸附水的含量,而集聚体内孔隙水含量随着初始含水率的增加而增加(主峰值增加)。从图中不同初始含水率下非饱和压实试样的表面照片可见,初始含水率高于最优含水率的试样表面显示出大量黏土集聚体,试样的表面不均匀。此外,对于不同初始含水率的非饱和压实试样,其集聚体间孔隙均为干燥孔隙。这表明,通过静态压实法制备的非饱和压实试样,其集聚体间孔隙是无法吸收水分的,这部分孔隙需要通过饱和的方式才能吸水。



图4 非饱和压实试样的孔隙水分布
由于饱和压实试样中所有孔隙均充满水,通过核磁共振技术获得的孔隙水分布曲线可以表征土体的孔径分布。图5表示了在最优含水率但不同压实度条件下饱和压实试样的孔隙水分布曲线。不同压实度条件下饱和压实试样的孔隙水分布均表现出明显的双峰特性,其主峰孔隙半径约为0.13 μm,次峰孔隙半径约为3.0 μm。当压实度为100 %、95 %、90 %、85 %和80 %时,对应的最大持水孔隙半径分别为9.4 μm、12.0 μm、23.0 μm、37.4 μm和116.0 μm。随着压实度降低,最大持水孔隙半径不断增大。从孔隙水分布来看,吸附水含量不受压实度变化的影响,表明吸附水不会受到外部作用力的影响,紧密地吸附在黏土颗粒表面;而集聚体内孔隙水含量和集聚体间孔隙水含量(分别对应于主峰和次峰)随着压实度降低而增加,引起孔隙水分布曲线向上移动。

图5 不同压实度条件下饱和试样的孔隙水分布
图6表示了在相同压实度但不同初始含水率条件下饱和压实试样的孔隙水分布曲线。随着初始含水率的增加,吸附水含量保持不变,集聚体内的优势孔隙水含量显著增加。从特征孔径来看,随着初始含水率增加,次峰孔隙半径和最大持水孔隙半径不断增大,而优势孔隙半径保持不变。孔隙水分布曲线的形态随着初始含水率的增加,从单峰逐渐演化为双峰。
从图6中不同初始含水率下饱和压实试样的表面照片可见,与初始含水率较高的饱和压实试样相比,初始含水率较低的试样表面更加均匀。这是因为在初始含水率较低时,黏土颗粒尚未大量聚集形成明显的黏土集聚体。随着初始含水率的增加,黏土颗粒逐渐聚集,形成双峰的孔隙水分布。当初始含水率超过土的塑限并接近液限时,黏土集聚体的数量迅速增加,导致集聚体间出现明显的微裂隙,试样表面变得不均匀。

图6 不同初始含水率条件下饱和试样的孔隙水分布
在土体干燥过程中,孔隙水分布的演化行为可分为两个阶段进行讨论:在第一阶段,如图7(a)所示,集聚体间孔隙水含量(次峰)迅速减少,而集聚体内的主峰孔隙水含量却增加。主峰孔隙水含量的增加可能与土体在初始干燥过程中孔隙水的重分布有关。具体而言,在初始干燥过程中,气体逐渐进入土体孔隙,水−气弯月面最先在集聚体间孔隙中形成,集聚体间孔隙水逐渐被气体取代,导致集聚体间孔隙水呈现出不连续的分布状态,改变了孔隙水的几何形态。这部分处于不连续状态下大孔隙中的水可能会被核磁共振设备探测为较小孔隙中的水。因此,主峰孔隙水含量会出现上升的现象;在第二阶段,如图7(b)所示,随着饱和度的降低,孔隙水分布曲线下方的面积逐渐减少,此时集聚体间孔隙水已完全排尽,排出的水主要为集聚体内孔隙水,吸附水含量基本保持不变。此外,当饱和度降低至33.7 %时,孔隙水分布曲线向左偏移。这是由于粉质黏土试样在干燥过程中发生体积收缩,从而引起土体孔径逐渐减小。

(a)阶段一

(b)阶段二
图7 土体在干燥过程中孔隙水分布的演化
2 基于累积孔隙水分布曲线的土−水特征曲线预测
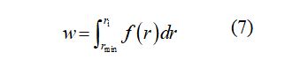
将土体孔隙想象为一束具有不同孔径的圆柱形管道,不同大小的孔隙中赋存的孔隙水体积不同。将每克干土中的孔隙水体积定义为孔隙水分布函数f(r)。函数f(r)dr表示孔径在[r, r+dr]范围内的孔隙水体积。假设孔隙间是连通的,质量含水率w与孔隙水分布函数之间的微分关系可以通过公式(6)表示:

对公式(6)进行积分,可以得到孔隙水分布函数与质量含水率之间的关系:

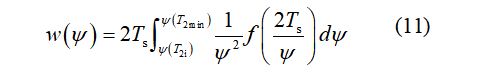
根据毛细管张力理论,土体在干燥过程中,基质吸力依次为ψ1、ψ2、ψ3 … ψn(ψ1<ψ2<ψ3< … <ψn),对应于孔隙半径为r1、r2、r3…rn(r1>r2>r3>…>rn)中的孔隙水依次排出,基质吸力ψ与孔隙半径r的关系满足Young-Laplace方程:

将公式(1)代入到公式(8)中:

将公式(1)代入到公式(7)中:

将公式(9)代入到公式(10)中,可以建立土−水特征曲线和累积孔隙水分布曲线的联系:

基于土体的累积孔隙水分布曲线,提出了两种土−水特征曲线的预测方法:
(1)第一种方法不考虑土体在干燥过程中的体积收缩,即假设孔隙结构保持不变,仅考虑孔隙水分布。在该假设下,利用饱和压实试样的累积孔隙水分布曲线便可预测土−水特征曲线,这种方法称为饱和土累积曲线法。
(2)第二种方法考虑土体在干燥过程中的体积收缩和孔隙水的重分布。当吸力达到给定吸力值(ψi)时,大于T2i中的孔隙水全部被排出,排水孔隙发生干燥收缩。孔隙发生收缩变形后,土中剩余的孔隙水重新分布,反映在吸力为ψi对应的非饱和试样的累积孔隙水分布曲线中。也就是说,在干燥过程中,各非饱和试样的累积孔隙水分布曲线的包络线即为实际的土−水特征曲线,这种方法称为非饱和土包络线法。
基于测量得到不同初始条件下粉质黏土的土−水特征曲线,对饱和土累积曲线法和非饱和土包络线法的预测效果进行对比,采用归一化误差平方和(SSE)评估预测的精度,见图8。从对比结果中可以看出,两种方法均能较好地预测不同初始条件下粉质黏土的土−水特征曲线,其中非饱和土包络线法的预测精度更高。

图8 基于NMR累积孔隙水分布曲线的土−水特征曲线预测
本章主要通过核磁共振技术研究了非饱和土孔隙水分布的演化规律,并结合吸力测量结果,探讨了土−水特征曲线与累积孔隙水分布曲线之间的内在联系,得到主要结论如下:
(1)提出了一种孔隙水分布的概念模型。压实粉质黏土中的孔隙水可分为吸附水、集聚体内孔隙水和集聚体间孔隙水三种类型,分别储存在孔隙半径小于0.05 μm、孔隙半径位于0.05 μm~1.0 μm和孔隙半径大于1.0 μm的孔隙中。
(2)对于非饱和压实试样,孔隙水分布曲线不随压实度变化,表明压实应力不足以改变压实试样中孔隙水分布曲线的形态;初始含水率的增加会促进了黏土集聚体的形成,导致最大持水孔隙半径和集聚体内孔隙水含量增加。对于饱和压实试样,集聚体内孔隙水含量和集聚体间孔隙水含量会随着压实度的降低而增加,但吸附水含量保持不变。
(3)在土体干燥过程中,集聚体间孔隙水迅速排出,集聚体内的主峰孔隙水含量先增加后减少,而吸附水含量保持不变。由于黏土颗粒的存在,土体在干燥过程中发生体积收缩,导致孔隙水分布曲线向小孔径方向偏移。
(4)基于核磁共振试验获取的累积孔隙水分布曲线,提出了饱和土累积曲线法和非饱和土包络线法,用于预测宽吸力范围内的土−水特征曲线。结果表明,两种方法均能较好地预测不同初始条件下粉质黏土的土−水特征曲线,其中非饱和土包络线法的预测精度更高。

大口径核磁共振成像分析仪
[1] Zhao, Y. X., Wu, L. Z., Li, X*. (2024). NMR-based pore water distribution characteristics of silty clay during the soil compaction, saturation, and drying processes. Journal of Hydrology, 636, 131240.
电话:400-060-3233
售后:400-060-3233
返回顶部